Operator Library: Arithmetics
The operator COT calculates the cotangent of the input.
The input range of the cotangent function is [-∞, ∞]. Because of the periodicity of the cotangent function the input range of the VisualApplets operator is limited to [-π, π[ i.e. the minimum value at the input is -π and the maximum value at the input plus 1 is π. Thus, it it not possible to have the value +π at the input.
The argument x of the cotangent function is therefore determined by

where

is the bit width at the input link.
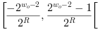
The results of the cotangent function are in the range [-∞, ∞]. This operator inlcudes a parameter ResolutionBits to define the fixed point resolution bits of the output values. The output range is therefore given by the number of output bits and the resolution bits =

where

is the bit width at the output and R the resolution bits. Thus, the output value is

The values -π/2 and π/2 are not defined for the tangent function. The VisualApplets operator will clip these values to the maximum or minimum possible values at the output. Moreover, the result of the cotangent function can be out of the output value range. In this case, the results will be clipped to the maximum or minimum possible values, too. Thus,

The following image shows the plot of the normal cotangent function.

In the next figure, the VisualApplets operator implementation is shown. Note the input and output bit widths.

| Link Parameter | Input Link I | Output Link O |
|---|---|---|
| Bit Width | [8, 12] | [8,32] |
| Arithmetic | signed | signed |
| Parallelism | any | as I |
| Kernel Columns | 1 | as I |
| Kernel Rows | 1 | as I |
| Img Protocol | {VALT_IMAGE2D, VALT_LINE1D, VALT_PIXEL0D} | as I |
| Color Format | VAF_GRAY | as I |
| Color Flavor | FL_NONE | as I |
| Max. Img Width | any | as I |
| Max. Img Height | any | as I |
The use of operator COT is shown in the following examples:
-
'Functional Example for Specific Operators of Library Arithmentics: Trigonometric Functions'
Examples - Demonstration of how to use the operator

Prev

